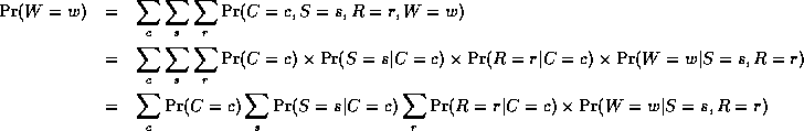
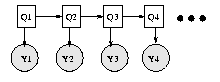
Index of /ai/To-dom/My_research/Papers-0/For-courses/Bayes/Graphical Models_files/


../
_10934_displaymath21.gif                           01-May-2020 21:56                1420
_10934_displaymath22.gif                           01-May-2020 21:56                1421
_10934_displaymath23.gif                           01-May-2020 21:56                 754
_10934_displaymath24.gif                           01-May-2020 21:56                 817
_10934_displaymath25.gif                           01-May-2020 21:56                 757
_10934_displaymath26.gif                           01-May-2020 21:56                 578
_10934_displaymath27.gif                           01-May-2020 21:56                 628
_10934_eqnarray12.gif                              01-May-2020 21:56                2658
ar1.gif                                            01-May-2020 21:56                 651
bayes_ball_no_det.gif                              01-May-2020 21:56                2081
fa.gif                                             01-May-2020 21:56                 669
fa_scalar.gif                                      01-May-2020 21:56                1374
filter.gif                                         01-May-2020 21:56                5185
hme.gif                                            01-May-2020 21:56                1566
hmm4.gif                                           01-May-2020 21:56                 994
hmm_zoo.gif                                        01-May-2020 21:56                6013
ifa.gif                                            01-May-2020 21:56                1918
kf.gif                                             01-May-2020 21:56                 927
kfhead.jpg                                         01-May-2020 21:56               53607
mfa.gif                                            01-May-2020 21:56                 736
mixexp.gif                                         01-May-2020 21:56                 929
sar.gif                                            01-May-2020 21:56                1018
skf.gif                                            01-May-2020 21:56                1620
sprinkler.gif                                      01-May-2020 21:56                3001