(mathematics) A Banach space which also is an inner-product space with
the inner product of a vector with itself being the same as the square of the
norm of the vector.
(mathematics) A Banach space which also is an inner-product space with
the inner product of a vector with itself being the same as the square of the
norm of the vector.
Hilbert space is an abstract notion of great power and beauty which has been central to the development of mathematical analysis and forms the backdrop for many applications of analysis to science and engineering. Its essence lies in the fact that the objects of primary interest in analysis (namely, functions) enjoy geometrical properties which are in important ways analogous to the geometry of physical space. Thus the highly developed human visual and spatial intuition can lead to significant truths about functions. See also Euclidean geometry.
Generalizations of euclidean space
Vectors (or directed line segments) in euclidean space have a rich structure. If certain of the desirable properties of euclidean space are isolated and adopted as postulates, a class of spaces is defined that may include spaces of functions that are of concern in analysis. During the early decades of the twentieth century it was gradually realized that it is possible to select a small number of properties in such a way that the resulting spaces possess virtually all the desirable features of euclidean space except those which are closely linked to finite dimensionality. These spaces are named after David Hilbert, who took a decisive step toward their introduction in 1906 when he proved the spectral theorem.
Role of Hilbert space
Hilbert's innovation occurred while he was investigating integral equations
which arose from mathematical physics. These equations are continuous analogs of
the systems of simultaneous linear equations which are encountered in elementary
algebra, but the unknown entity, instead of being a finite set of numbers, is a
function. Just as graphical methods give insight into the solution of a pair of
simultaneous linear equations in two unkowns, so the development of
Hilbert-space geometry had great consequences for the understanding of integral
equations. Hilbert space is a truly fundamental mathematical structure which
appears in widely disparate branches of pure and applied mathematics. A striking
instance is quantum mechanics, where observable quantities are modeled by linear
transformations of Hilbert space. See also
The noun Hilbert space has one meaning:
Meaning
#1: a metric space that is linear and complete and (usually)
infinite-dimensional
In mathematics, a Hilbert space is a real or complex vector space with a positive-definite Hermitian form, that is complete under its norm. Thus it is an inner product space, which means that it has notions of distance and of angle (especially the notion of orthogonality or perpendicularity). The completeness requirement ensures that for infinite dimensional Hilbert spaces the limits exist when expected, which facilitates various definitions from calculus. A typical example of a Hilbert space is the space of square summable sequences.
Hilbert spaces allow simple geometric concepts, like projection and change of basis to be applied to infinite dimensional spaces, such as function spaces. They provide a context with which to formalize and generalize the concepts of the Fourier series in terms of arbitrary orthogonal polynomials and of the Fourier transform, which are central concepts from functional analysis. Hilbert spaces are of crucial importance in the mathematical formulation of quantum mechanics.
Older books and papers sometimes call a Hilbert space a unitary space or a linear space with an inner product, but this terminology is no longer used.
Hilbert spaces were named after David Hilbert, who studied them in the context of integral equations. John von Neumann originated the designation " der abstrakte Hilbertsche Raum " in his famous work on unbounded Hermitian operators, published in 1929.[1] Von Neumann was perhaps the mathematician who most clearly recognized their importance as a result of his seminal work on the foundations of quantum mechanics begun with Hilbert and Lothar (Wolfgang) Nordheim[2] and continued with Eugene Wigner. The name "Hilbert space" was soon adopted by others, for example by Hermann Weyl in his 1931 book The Theory of Groups and Quantum Mechanics.[3]
The elements of an abstract Hilbert space are sometimes called "vectors". All finite-dimensional inner product spaces (such as a real or complex vector space with the ordinary dot product) are Hilbert spaces. In applications, Hilbert spaces are typically sequences of complex numbers or functions. In quantum mechanics for example, a physical system is described by a complex Hilbert space which contains the "wavefunctions" that stand for the possible states of the system. See mathematical formulation of quantum mechanics for details. (The space of plane waves and bound states commonly used in quantum mechanics is known more formally as the rigged Hilbert space.)
Other applications include:
The inner product allows one to adopt a "geometrical" view and use geometrical language familiar from finite-dimensional spaces. Of all the infinite-dimensional topological vector spaces, the Hilbert spaces are the most "well-behaved" and the closest to the finite-dimensional spaces.
One goal of Fourier analysis is to write a given function as a (possibly infinite) sum of multiples of given base functions. This problem can be studied abstractly in Hilbert spaces: every Hilbert space has an orthonormal basis, and every element of the Hilbert space can be written in a unique way as a sum of multiples of these base elements. The Fourier transform then corresponds to a change of basis.
A Hilbert Space is an inner product space that is also a Banach space (a complete normed space) under the norm defined by the inner product.
Every inner product <·,·> on a real or complex vector space H gives rise to a norm ||·|| as follows:
In any normed space, the open balls constitute a compatible topology; any normed vector space is a topological vector space (and even a uniform structure) and therefore so is any inner product space.
The Cauchy criterion may be defined for sequences in this space (as it can in any uniform space): a sequence {xn} is a Cauchy sequence if for every positive real number ε there is a natural number N such that for all m, n > N, ||xn – xm|| < ε. H is a Hilbert space if it is complete with respect to this norm, that is if every Cauchy sequence converges to an element in the space. Thus, every Hilbert space is also a Banach space, but not vice versa.
Some authors use slightly different definitions. For example, Kolmogorov
et al.[4]
define a Hilbert space as above but restrict the definition to separable and
infinite-dimensional spaces. A separable, infinite-dimensional Hilbert space is
unique up to isomorphism, called
[often written
for shorthand — see the next section for the definition]. In this article, a
Hilbert space is not assumed to be infinite-dimensional or separable.
In these examples, the underlying field of scalars is C, although the definitions apply to the case in which the underlying field of scalars is R.
Cn with the inner product definition
where the bar over a complex number denotes its complex conjugate.
Much more typical are the infinite-dimensional Hilbert spaces however. If B is any set, the sequence space l2 (said "little ell two") over B is defined
This space becomes a Hilbert space with the inner product
for all x and y in l2(B). B does not have to be a countable set in this definition, although if B is not countable, the resulting Hilbert space is not separable. In a sense made more precise below, every Hilbert space is isomorphic to one of the form l2(B) for a suitable set B. If B=N, the natural numbers, this space is simply called l2.
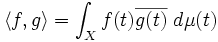
These are function spaces associated to measure spaces (X, M, μ), where M is a σ-algebra of subsets of X and μ is a countably additive measure on M. Let L2μ(X) be the space of complex-valued square-integrable measurable functions on X, modulo equality almost everywhere. Square integrable means the integral of the square of its absolute value is finite. Modulo equality almost everywhere means functions are identified if and only if they are equal outside of a set of measure 0.
The inner product of functions f and g is here given by
One needs to show:
These facts are easy to derive; see, for example, Section 42 of Halmos (1950).[5] Note that the use of the Lebesgue integral ensures that the space will be complete. See Lp space for further discussion of this example.
Sobolev spaces, denoted by Hs or Ws,2, are another example of Hilbert spaces, and are used often in the field of partial differential equations.
Two (or more) Hilbert spaces can be combined into a single Hilbert space by taking their direct sum or their tensor product.
An important concept is that of an orthonormal basis of a Hilbert space H: this is a family {ek}k ∈ B of H satisfying:
An orthonormal basis is sometimes called an orthonormal sequence or orthonormal set.
Examples of orthonormal bases include:
Note that in the infinite-dimensional case, an orthonormal basis will not be a basis in the sense of linear algebra; to distinguish the two, the latter basis is also called a Hamel basis. That the span of the basis vectors is dense means that every vector in the space can be written as the limit of an infinite series and the orthogonality implies that this decomposition is unique.
Using Zorn's lemma, one can show that every Hilbert space admits an orthonormal basis; furthermore, any two orthonormal bases of the same space have the same cardinality. A Hilbert space is separable if and only if it admits a countable orthonormal basis.
Since all infinite-dimensional separable Hilbert spaces are isomorphic, and since almost all Hilbert spaces used in physics are separable, when physicists talk about the Hilbert space they mean any separable one.
If {ek}k ∈ B is an orthonormal basis of H, then every element x of H may be written as
Even if B is uncountable, only countably many terms in this sum will be non-zero, and the expression is therefore well-defined. This sum is also called the Fourier expansion of x.
If {ek}k ∈ B is an orthonormal basis of H, then H is isomorphic to l2(B) in the following sense: there exists a bijective linear map Φ : H → l2(B) such that
for all x and y in H.
If S is a subset of a Hilbert space H, the set of vectors orthogonal to S is defined by
Sperp is a closed subspace of H and so forms itself a Hilbert space. If V is a closed subspace of H, then Vperp is called the orthogonal complement of V. In fact, every x in H can then be written uniquely as x = v + w, with v in V and w in Vperp. Therefore, H is the internal Hilbert direct sum of V and Vperp. The linear operator PV : H → H which maps x to v is called the orthogonal projection onto V.
Theorem. The orthogonal projection PV is a self-adjoint linear operator on H of norm ≤ 1 with the property PV2 = PV. Moreover, any self-adjoint linear operator E such that E2 = E is of the form PV, where V is the range of E. For every x in H, PV(x) is the unique element v of V which minimizes the distance ||x - v||.
This provides the geometrical interpretation of PV(x): it is the best approximation to x by elements of V.
An important property of any Hilbert space is its reflexivity. In fact, more is true: one has a complete and convenient description of its dual space (the space of all continuous linear functions from the space H into the base field), which is itself a Hilbert space. Indeed, the Riesz representation theorem states that to every element φ of the dual H' there exists one and only one u in H such that
for all x in H and the association φ ↔ u provides an antilinear isomorphism between H and H'. This correspondence is exploited by the bra-ket notation popular in physics.
For a Hilbert space H, the continuous linear operators A : H → H are of particular interest. Such a continuous operator is bounded in the sense that it maps bounded sets to bounded sets. This allows to define its norm as
The sum and the composition of two continuous linear operators is again continuous and linear. For y in H, the map that sends x to <y, Ax> is linear and continuous, and according to the Riesz representation theorem can therefore be represented in the form
This defines another continuous linear operator A* : H → H, the adjoint of A.
The set L(H) of all continuous linear operators on H, together with the addition and composition operations, the norm and the adjoint operation, forms a C*-algebra; in fact, this is the motivating prototype and most important example of a C*-algebra.
An element A of L(H) is called self-adjoint or Hermitian if A* = A. These operators share many features of the real numbers and are sometimes seen as generalizations of them.
An element U of L(H) is called unitary if U is invertible and its inverse is given by U*. This can also be expressed by requiring that <Ux, Uy> = <x, y> for all x and y in H. The unitary operators form a group under composition, which can be viewed as the automorphism group of H.
If a linear operator has a closed graph and is defined on all of a Hilbert space, then, by the closed graph theorem in Banach space theory, it is necessarily bounded. However, unbounded operators can be obtained by defining a linear map on a proper subspace of the Hilbert space.
In quantum mechanics, several interesting unbounded operators are defined on a dense subspace of Hilbert space. It is possible to define self-adjoint unbounded operators, and these play the role of the observables in the mathematical formulation of quantum mechanics.
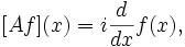
Examples of self-adjoint unbounded operator on the Hilbert space L2(R) are:
These correspond to the momentum and position observables, respectively. Note that neither A nor B is defined on all of H, since in the case of A the derivative need not exist, and in the case of B the product function need not be square integrable. In both cases, the set of possible arguments form dense subspaces of L2(R).
This entry is from Wikipedia, the leading user-contributed encyclopedia. It may not have been reviewed by professional editors (see full disclaimer)
Copyrights:
![]() |
Science
and Technology Dictionary definition of Hilbert
space McGraw-Hill Dictionary of Scientific and Technical Terms. Copyright © 2003, 1994, 1989, 1984, 1978, 1976, 1974 by McGraw-Hill Companies, Inc. All rights reserved. More from Science and Technology Dictionary | |
![]() |
Science
and Technology Encyclopedia information about Hilbert
space McGraw-Hill Encyclopedia of Science and Technology. Copyright © 2005 by The McGraw-Hill Companies, Inc. All rights reserved. More from Science and Technology Encyclopedia | |
![]() |
WordNet
information about Hilbert space WordNet 1.7.1 Copyright © 2001 by Princeton University. All rights reserved. More from WordNet | |
![]() |
Wikipedia
information about Hilbert space This article is licensed under the GNU Free Documentation License. It uses material from the Wikipedia article "Hilbert space". More from Wikipedia |
Mentioned In