Hilbert space
From Wikipedia, the free encyclopedia
- This article assumes some familiarity with analytic geometry and the concept of a limit. The article on vector spaces contains useful background, and the article on functional analysis is closely related.
The mathematical concept of a Hilbert space (named after the German mathematician David Hilbert) generalizes the notion of Euclidean space in a way that extends methods of vector algebra from the plane and three-dimensional space to spaces of functions. In more formal terms, a Hilbert space is an inner product space — an abstract vector space in which distances and angles can be measured — which is "complete", meaning that if a sequence of vectors approaches a limit, then that limit is guaranteed to be in the space as well.
Hilbert spaces arise naturally and frequently in mathematics, physics, and engineering, typically as infinite-dimensional function spaces. They are indispensable tools in the theories of partial differential equations, quantum mechanics, and signal processing. The recognition of a common algebraic structure within these diverse fields generated a greater conceptual understanding, and the success of Hilbert space methods ushered in a very fruitful era for functional analysis.
Geometric intuition plays an important role in many aspects of Hilbert space theory. An element of a Hilbert space can be uniquely specified by its coordinates with respect to an orthonormal basis, in analogy with cartesian coordinates in the plane. This means that Hilbert space can also usefully be thought of in terms of infinite sequences that are square summable. Linear operators on a Hilbert space are likewise fairly concrete objects: in good cases, they are simply transformations that stretch the space by different factors in mutually perpendicular directions.
Contents |
[edit] Motivation and intuitive meaning
Ordinary Euclidean space R3 serves as a model for the more abstract notion of a Hilbert space. In the Euclidean space, the distance between points and the angle between vectors can be expressed via the dot product, a certain bilinear operation on vectors with values in real numbers. Many problems from analytic geometry can be reworded and solved using the dot product, for example, "When are two lines orthogonal?" or "How to find the point on a given plane closest to the origin?"
In a Hilbert space, the fundamental objects are abstractions of vectors, whose nature is unimportant (they may be, for example, sequences or functions of some kind). Those abstract vectors can be added and multiplied by a scalar, and an analogue of the dot product is defined for them. The algebraic operations on vectors in a Hilbert space have familiar properties, like commutativity and distributivity. In addition, the technical requirement of completeness ensures that certain limits exist. This last property is always true for finite-dimensional inner product spaces, but needs to be stated as an additional assumption in the more general case. Completeness guarantees that various geometric operations, such as orthogonal projection onto a subspace, that are familiar in the setting of Euclidean spaces, can be meaningfully defined in general, even for an infinite dimensional space.
While the definition of a Hilbert space given below may appear complicated, due to a large number of consistency axioms, the basic intuition behind Hilbert spaces is amazingly simple:
- In a large range of physical and mathematical situations, a linear problem can be stated within a certain Hilbert space and analyzed in simple geometrical terms.
In particular, this principle applies to solving linear differential and integral equations, and especially eigenvalue problems. One of the first examples of such an analysis was given by Joseph Fourier's mathematical theory of heat: a solution of the heat equation can be decomposed into infinitely many independent parts, which is closely analogous to the way of representing a vector from R3 as a linear combination of three orthogonal vectors. Similar considerations apply to other equations of mathematical physics, notably, the wave equation and Helmholtz equation.
The success of the theory of Hilbert spaces is due in part to the striking fact that
- although they may differ in origin and appearance, most Hilbert spaces considered in physics and mathematics are just multiple manifestations of a single separable Hilbert space.
One way to comprehend this proceeds by introducing a system of coordinates into a given Hilbert space using the notion of orthonormal basis described below. As a consequence of the uniqueness principle, a theorem stated in abstract terms and valid in one of these spaces will hold in all of them.
[edit] Definition
A real or complex Hilbert space is a real or complex inner product space that is a complete normed space (Banach space) under the norm defined by the inner product.
[edit] Remarks
- The inner product 〈·,·〉 on a real or complex vector space H
gives rise to a norm ||·|| as
follows:
- Completeness is the key to handling infinite-dimensional examples, such as
function spaces. It is expressed using a form of the Cauchy criterion for
sequences in H:
- A sequence {vn} is a Cauchy sequence if for every positive real number ε there is a natural number N such that for all m, n > N, ||vn – vm|| < ε. The space H is complete with respect to this norm if every Cauchy sequence converges to an element in the space.
- As any normed vector space, an inner product space becomes a topological
vector space if we declare that the open balls constitute a
basis of topology. A Hilbert
space is also a Banach space in which the following parallelogram
identity holds:
- Conversely, it can be proved that a Banach space in which the parallelogram identity holds is a Hilbert space, and the inner product is uniquely determined by the norm.
- Some authors use slightly different definitions. For example,
Kolmogorov-Fomin[1]
define a Hilbert space as above but restrict the definition to separable
and infinite-dimensional spaces. A separable, infinite-dimensional Hilbert
space is unique up to isomorphism, called
[often written
for shorthand — see the next section for the definition]. In this article, a
Hilbert space is not assumed to be infinite-dimensional or separable.
- Older books and papers sometimes call a Hilbert space a unitary space or a linear space with an inner product, but this terminology fell out of use.
[edit] Genesis of Hilbert spaces
The first important theorems that apply to Hilbert spaces were obtained by Joseph Fourier, Friedrich Bessel and Marc-Antoine Parseval in the 19th century in the context of periodic functions of one real variable. Fourier's theory of trigonometric series in particular provides a template for the later development of the theory of function spaces in an abstract setting. Further basic results were proved in early 20th century, for example, the Riesz representation theorem of Maurice Frechet and Frigyes Riesz from 1907.
Hilbert spaces are named after David Hilbert, who developed methods of infinite-dimensional linear algebra in the course of his work on integral equations beginning around 1909. Hilbert's axiomatic approach to the study of function spaces and operators on them, which may be termed the "algebraization of analysis", provided the foundations for functional analysis as a new mathematical discipline, and made profound impact on the later development of mathematics.
The significance of the concept of Hilbert space was underlined with the realization that it offers one of the best mathematical formulations of quantum mechanics. In short, the states of a quantum mechanical system are described by vectors in a certain Hilbert space, the observables are expressed by linear operators, and the procedure of quantum measurement is related to orthogonal projection. Moreover, the symmetries of a quantum mechanical system can be interpreted as a unitary representation of a suitable group, providing an impetus for development of unitary representation theory. On the other hand, around the same time it became clear that certain properties of classical dynamical systems can be analyzed using Hilbert space techniques in the framework of ergodic theory.[citation needed]
John von Neumann coined the term abstract Hilbert space in his famous work on unbounded Hermitian operators, published in 1929.[2] Von Neumann was perhaps the mathematician who most clearly recognized their importance as a result of his seminal work on the foundations of quantum mechanics which began with Hilbert and Lothar (Wolfgang) Nordheim[3] and continued with Eugene Wigner. The name "Hilbert space" was soon adopted by others, for example by Hermann Weyl in his 1931 book The Theory of Groups and Quantum Mechanics.[4]
[edit] Examples
In these examples, the underlying field of scalars is C, although similar definitions apply to the case in which the underlying field of scalars is R.
[edit] Euclidean spaces
Cn with the inner product defined by
where the bar over a complex number denotes its complex conjugate.
[edit] Sequence spaces
Infinite-dimensional Hilbert spaces are central to the subject. If B is any set, the sequence space ℓ2 (said "little ell two") over B is defined
This space becomes a Hilbert space with the inner product
for all x and y in ℓ2(B). B does not have to be a countable set in this definition, although if B is not countable, the resulting Hilbert space is not separable. In a sense made more precise below, every Hilbert space is isomorphic to one of the form ℓ2(B) for a suitable set B. If B=N, the natural numbers, this space is simply called ℓ2.
[edit] Lebesgue spaces
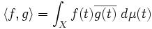
These are function spaces associated to measure spaces (X, M, μ), where M is a σ-algebra of subsets of X and μ is a countably additive measure on M. Let L2μ(X) be the space of complex-valued square-integrable measurable functions on X, modulo equality almost everywhere. Square integrable means the integral of the square of its absolute value is finite. Modulo equality almost everywhere means functions are identified if and only if they are equal outside of a set of measure 0.
The inner product of functions f and g is here given by
One needs to show:
- That this integral indeed makes sense;
- The resulting space is complete.
These facts are easy to derive; see, for example, Section 42 of Halmos (1950).[5] Note that the use of the Lebesgue integral ensures that the space will be complete. See Lp space for further discussion of this example.
[edit] Sobolev spaces
Sobolev spaces, denoted by Hs or Ws,2, are another example of Hilbert spaces, and are used often in the field of partial differential equations.
[edit] New Hilbert spaces from old
Two (or more) Hilbert spaces can be combined to produce another Hilbert space by taking either their direct sum or their tensor product.
[edit] Applications
Hilbert spaces allow simple geometric concepts like projection and change of basis to be extended from finite dimensional to infinite dimensional spaces, in the first place, function spaces.
Other applications include:
- The theory of unitary group representations.
- The theory of square integrable stochastic processes.
- The Hilbert space theory of partial differential equations, in particular formulations of the Dirichlet problem.
- Spectral analysis of functions, including theories of wavelets.
One goal of Fourier analysis is to write a given function as a (possibly infinite) linear combination of given basis functions. This problem can be studied abstractly in Hilbert spaces: every Hilbert space has an orthonormal basis, and every element of the Hilbert space can be written in a unique way as a sum of multiples of these basis elements. The Fourier transform then corresponds to a change of basis.
[edit] Orthonormal bases
A key role in the theory is played by the notion of orthonormal basis of a Hilbert space H: a family {ek}k ∈ B of H satisfying the conditions:
- Orthogonality: Every two different elements of B are orthogonal: <ek, ej> = 0 for all k, j in B with k ≠ j.
- Normalization: Every element of the family has norm 1: ||ek|| = 1 for all k in B
- Completeness: The linear span of B is dense in H.
A system of vectors satisfying the first two conditions basis is called an orthonormal system or an orthonormal sequence (if B is countable). It can be proved that such a system is always linearly independent. Completeness of an orthonormal system of vectors of a Hilbert space can be equivalently restated as:
- if
for all
and some
then
Examples of orthonormal bases include:
- the set {(1,0,0),(0,1,0),(0,0,1)} forms an orthonormal basis of R3 with the dot product
- the sequence {fn : n ∈ Z} with fn(x) = exp(2πinx) forms an orthonormal basis of the complex space L2([0,1])
- the family {eb : b ∈ B} with eb(c) = 1 if b=c and 0 otherwise forms an orthonormal basis of l2(B).
Note that in the infinite-dimensional case, an orthonormal basis will not be a basis in the sense of linear algebra; to distinguish the two, the latter basis is also called a Hamel basis. That the span of the basis vectors is dense means that every vector in the space can be written as the limit of an infinite series and the orthogonality implies that this decomposition is unique.
Using Zorn's lemma, one can show that every Hilbert space admits an orthonormal basis; furthermore, any two orthonormal bases of the same space have the same cardinality. A Hilbert space is separable if and only if it admits a countable orthonormal basis.
Since all infinite-dimensional separable Hilbert spaces are isomorphic, and since almost all Hilbert spaces used in physics are separable, when physicists talk about the Hilbert space they mean any separable one.
If {ek}k ∈ B is an orthonormal basis of H, then every element x of H may be written as
Even if B is uncountable, only countably many terms in this sum will be non-zero, and the expression is therefore well-defined. This sum is also called the Fourier expansion of x.
If {ek}k ∈ B is an orthonormal basis of H, then H is isomorphic to l2(B) in the following sense: there exists a bijective linear map Φ : H → l2(B) such that
for all x and y in H.
[edit] Orthogonal complements and projections
If S is a subset of a Hilbert space H, the set of vectors orthogonal to S is defined by
Sperp is a closed subspace of H and so forms itself a Hilbert space. If V is a closed subspace of H, then Vperp is called the orthogonal complement of V. In fact, every x in H can then be written uniquely as x = v + w, with v in V and w in Vperp. Therefore, H is the internal Hilbert direct sum of V and Vperp. The linear operator PV : H → H which maps x to v is called the orthogonal projection onto V.
Theorem. The orthogonal projection PV is a self-adjoint linear operator on H of norm ≤ 1 with the property PV2 = PV. Moreover, any self-adjoint linear operator E such that E2 = E is of the form PV, where V is the range of E. For every x in H, PV(x) is the unique element v of V which minimizes the distance ||x - v||.
This provides the geometrical interpretation of PV(x): it is the best approximation to x by elements of V.
[edit] Reflexivity
An important property of any Hilbert space is its reflexivity. In fact, more is true: one has a complete and convenient description of its dual space (the space of all continuous linear functions from the space H into the base field), which is itself a Hilbert space. Indeed, the Riesz representation theorem states that to every element φ of the dual H' there exists one and only one u in H such that
for all x in H and the association φ ↔ u provides an antilinear isomorphism between H and H'. This correspondence is exploited by the bra-ket notation popular in physics.
[edit] Bounded operators
For a Hilbert space H, the continuous linear operators A : H → H are of particular interest. Such a continuous operator is bounded in the sense that it maps bounded sets to bounded sets. This allows to define its norm as
The sum and the composition of two continuous linear operators is again continuous and linear. For y in H, the map that sends x to <y, Ax> is linear and continuous, and according to the Riesz representation theorem can therefore be represented in the form
This defines another continuous linear operator A* : H → H, the adjoint of A.
The set L(H) of all continuous linear operators on H, together with the addition and composition operations, the norm and the adjoint operation, forms a C*-algebra; in fact, this is the motivating prototype and most important example of a C*-algebra.
An element A of L(H) is called self-adjoint or Hermitian if A* = A. These operators share many features of the real numbers and are sometimes seen as generalizations of them.
An element U of L(H) is called unitary if U is invertible and its inverse is given by U*. This can also be expressed by requiring that <Ux, Uy> = <x, y> for all x and y in H. The unitary operators form a group under composition, which can be viewed as the automorphism group of H.
[edit] Unbounded operators
If a linear operator has a closed graph and is defined on all of a Hilbert space, then, by the closed graph theorem in Banach space theory, it is necessarily bounded. However, unbounded operators can be obtained by defining a linear map on a proper subspace of the Hilbert space.
In quantum physics, several interesting unbounded operators are defined on a dense subspace of Hilbert space. It is possible to define self-adjoint unbounded operators, and these play the role of the observables in the mathematical formulation of quantum mechanics.
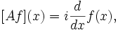
Examples of self-adjoint unbounded operator on the Hilbert space L2(R) are:
- A suitable extension of the differential operator
- where i is the imaginary unit and f is a differentiable function of compact support.
- The multiplication by x operator:
These correspond to the momentum and position observables, respectively. Note that neither A nor B is defined on all of H, since in the case of A the derivative need not exist, and in the case of B the product function need not be square integrable. In both cases, the set of possible arguments form dense subspaces of L2(R).
[edit] See also
- Harmonic analysis
- Hermitian operators
- Mathematical analysis
- Operator algebra
- Riesz representation theorem
- Rigged Hilbert space
- Reproducing kernel Hilbert space
- Topologies on the set of operators on a Hilbert space
[edit] Notes and references
- ^ Kolmogorov, Andrey; S. V. Fomin (1970). Introductory Real Analysis, Revised English edition, trans. by Richard A. Silverman (1975), Dover Press. ISBN 0-486-61226-0.
- ^ Von Neumann, John (1929). "Allgemeine Eigenwerttheorie Hermitescher Funktionaloperatoren". Mathematische Annalen 102: 49–131.
- ^ Hilbert, David; Lothar Nordheim and John von Neumann (1927). "Über die Grundlagen der Quantenmechanik". Mathematische Annalen 98: 1–30.
- ^ Weyl, Hermann (1931). The Theory of Groups and Quantum Mechanics, English edition (1950), Dover Press. ISBN 0-486-60269-9.
- ^ Halmos, Paul (1950). Measure Theory. D. van Nostrand Co.
- Jean Dieudonné, Foundations of Modern Analysis, Academic Press, 1960.
- B.M. Levitan, "Hilbert space" SpringerLink Encyclopaedia of Mathematics (2001)

