Synaptic plasticity
From Wikipedia, the free encyclopedia
In neuroscience, synaptic plasticity is the ability of the connection, or synapse, between two neurons to change in strength. There are several underlying mechanisms that cooperate to achieve synaptic plasticity, including changes in the quantity of neurotransmitter released into a synapse and changes in how effectively cells respond to those neurotransmitters[1]. Since memories are postulated to be represented by vastly interconnected networks of synapses in the brain, synaptic plasticity is one of the important neurochemical foundations of learning and memory (see Hebbian theory).
Contents |
[edit] Biochemical mechanisms
Two known molecular mechanisms for synaptic plasticity were revealed by research in laboratories such as that of Eric Kandel. The first mechanism involves modification of existing synaptic proteins (typically protein kinases) resulting in altered synaptic function[2]. The second mechanism depends on second messenger neurotransmitters regulating gene transcription and changes in the levels of key proteins at synapses. This second mechanism can be triggered by protein phosphorylation but takes longer and lasts longer, providing the mechanism for long-lasting memory storage. Long-lasting changes in the efficacy of synaptic connections (long-term potentiation, or LTP) between two neurons can involve the making and breaking of synaptic contacts.
A synapse's strength also depends on the number of ion channels it has[3]. Several facts suggest that neurons change the density of receptors on their postsynaptic membranes as a mechanism for changing their own excitability in response to stimuli. In a dynamic process that is maintained in equilibrium, NMDA and AMPA receptors are added to the membrane by exocytosis and removed by endocytosis[2][4] [5]. These processes, and by extension the number of receptors on the membrane, can be altered by synaptic activity[2][5]. Experiments have shown that AMPA receptors are delivered to the membrane due to repetitive NMDAR activation [2][4].
If the strength of a synapse is only reinforced by stimulation or weakened by its lack, a positive feedback loop will develop, leading some cells never to fire and some to fire too much. But two regulatory forms of plasticity, called scaling and metaplasticity, also exist to provide negative feedback[5]. Synaptic scaling serves to maintain the strengths of synapses relative to each other, lowering amplitudes of small excitatory postsynaptic potentials in response to continual excitation and raising them after prolonged blockage or inhibition[5]. This effect occurs gradually over hours or days, by changing the numbers of NMDA receptors at the synapse (Pérez-Otaño and Ehlers, 2005). Metaplasticity, another form of negative feedback, reduces the effects of plasticity over time[5]. Thus, if a cell has been affected by a lot of plasticity in the past, metaplasticity makes future plasticity less effective. Since LTP and LTD (long-term depression) rely on the influx of Ca2+ through NMDA channels, metaplasticity may be due to changes in NMDA receptors, for example changes in their subunits to allow the concentration of Ca2+ in the cell to be lowered more quickly[5].
[edit] Theoretical mechanisms
A bi-directional model, describing both LTP and LTD, of synaptic plasticity has proved necessary for a number of different learning mechanisms in computational neuroscience, neural networks, and biophysics. Three major hypotheses for the molecular nature of this plasticity have been well-studied, and none are required to be the exclusive mechanism:
- Change in the probability of glutamate release.
- Insertion or removal of postsynaptic AMPA receptors.
- Phosphorylation and de-phosphorylation inducing a change in AMPA receptor conductance.
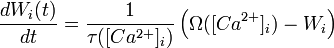
Of these, the first two hypotheses have been recently mathematically examined to have identical calcium-dependent dynamics which provides strong theoretical evidence for a calcium-based model of plasticity, which in a linear model where the total number of receptors are conserved looks like
,
where Wi is the synaptic weight of the
ith input axon, τ
is a time constant dependent on the insertion and removal rates of
neurotransmitter receptors, which is dependent on [Ca2 + ], the concentration of
calcium.
is also a function of the concentration of calcium that depends linearly on the
number of receptors on the membrane of the neuron at some fixed point. Both
Ω and τ are found
experimentally and agree on results from both hypotheses. The model makes
important simplifications that make it unsuited for actual experimental
predictions, but provides a significant basis for the hypothesis of a
calcium-based synaptic plasticity dependence.[6]
[edit] See also
- Hebbian theory
- BCM theory
- Long-term potentiation (LTP)
- Long-term depression (LTD)
- Spike timing dependent plasticity (STDP)
- Neural Facilitation (Short-term plasticity)
[edit] References
- ^ Gaiarsa, J.L.; Caillard O., and Ben-Ari Y. (2002). "Long-term plasticity at GABAergic and glycinergic synapses: mechanisms and functional significance". Trends in Neurosciences 25 (11): 564-570. ISSN 0166-2236.
- ^ a b c d Shi, S.H.; Hayashi Y., Petralia R.S., Zaman S.H., Wenthold R., Svoboda K., Malinow R. (1999). "Rapid spine delivery and redistribution of AMPA receptors after synaptic NMDA receptor activation". Science 284 (5421): 1811-1816. ISSN 0193-4511. PMID 10364548.
- ^ Debanne, D.; Daoudal G., Sourdet V., and Russier M. (2003). "Brain plasticity and ion channels". Journal of Physiology, Paris 97 (4-6): 403-414. doi:10.1016/j.jphysparis.2004.01.004. ISSN 0928-4257.
- ^ a b Song, I.; Huganir R.L. (2002). "Regulation of AMPA receptors during synaptic plasticity". Trends in Neurosciences 25 (11): 578-589. doi:10.1016/S0166-2236(02)02270-1 . ISSN 0166-2236.
- ^ a b c d e f Pérez-Otaño, I.; Ehlers M.D. (2005). "Homeostatic plasticity and NMDA receptor trafficking" (PDF). Trends in Neurosciences 28 (5): 229-238. ISSN 0166-2236. Retrieved on 2007-06-08.
- ^ Shouval, Harel Z.; Gastone C. Castellani, Brian S. Blais, Luk C. Yeung, Leon N. Cooper (2002). "Converging evidence for a simplified biophysical model of synaptic plasticity". Biological Cybernetics 87: 383-391. Retrieved on 2007-11-12.
- Thornton, James K. (2003). "New LSD Research: Gene Expression within the Mammalian Brain". MAPS 13 (1). Retrieved on 2007-06-08.
- Hawkins, R.D., Kandel, E.R., & Bailey, C.H. (June 2006). Molecular Mechanisms of Memory Storage in Aplysia. Biological Bulletin, 210, 174-191.
[edit] External links
[edit] Videos, podcasts
- Synaptic plasticity: Multiple mechanisms and functions - a lecture by Robert Malenka, M.D., Ph.D., Stanford University. Video podcast, runtime: 01:05:17.

